백준 BAEKJOON 31472번 갈래의 색종이 자르기 [PYTHON/파이썬]
<문제 출처> (BRONZE Ⅲ)
https://www.acmicpc.net/problem/31472
31472번: 갈래의 색종이 자르기
첫 번째 줄에 정수 $W$가 주어진다. ($2 \le W \le 20\,000$, $W$는 짝수) 항상 답이 존재하는 경우만 입력으로 주어진다.
www.acmicpc.net

<풀이>

분홍색으로 색칠된 부분이 문제에서 주어진 색종이 절반의 넓이인 W이다.
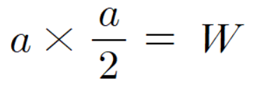
사각형의 한 변이 a라고 했을 때 W를 구하는 식은 아래와 같다.

우리는 W의 값을 아는 상태이니 a를 구해야 한다.
위의 식을 아래와 같이 변환해 보자!

루트는 2분의 1의 제곱이다.
정사각혀의 둘레를 구해야 하니 a * 4를 출력해 주면 된다.
<코드>
W = int(input())
a = int((2 * W) ** (1 / 2))
print(a * 4)
'ALGORITHM > PYTHON' 카테고리의 다른 글
| 백준 BAEKJOON 11944번 NN [PYTHON/파이썬] (1) | 2024.03.16 |
|---|---|
| 백준 BAEKJOON 11006번 남욱이의 닭장 [PYTHON/파이썬] (0) | 2024.03.13 |
| 백준 BAEKJOON 31428번 엘리스 트랙 매칭 [PYTHON/파이썬] (0) | 2024.03.01 |
| 백준 BAEKJOON 5054번 주차의 신 [PYTHON/파이썬] (0) | 2024.02.27 |
| 백준 BAEKJOON 2902번 KMP는 왜 KMP일까? [PYTHON/파이썬] (1) | 2024.02.26 |
